Resmi Gazete'de bugün yayınlanan acele kamulaştırma kararı, Seyhan'da çok sayıda mahalleyi etkilerken en büyük etkiyi Adana otogarı arazisinde gösterdi.
Haber Giriş Tarihi: 29.06.2024 21:32
Haber Güncellenme Tarihi: 02.07.2024 07:44
Kaynak:
Haber Merkezi
Resmi Gazete'de bugün yayınlanan acele kamulaştırma kararı, Seyhan'da çok sayıda mahalleyi etkilerken en büyük etkiyi Adana otogarı arazisinde gösterdi.
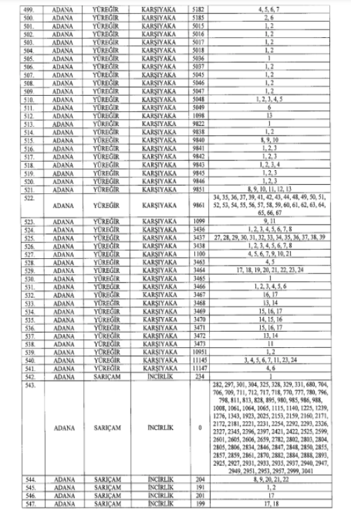
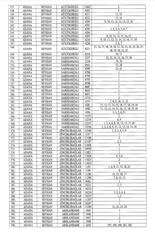
Mersin-Adana-Osmaniye-Gaziantep Yüksek Standartlı Demiryolu Hattı İnşaatı kapsamında, Adana'da çok sayıda yere acele kamulaştırma kararı alındı ve bu karar Resmi Gazete'de yayımlandı. Bu karar,Yüreğir, Sarıçam,Seyhan ve Ceyhan'da acele kamulaştırma kararı alındı.
Adana'nın ilçelerinde kamulaştırma kararı alınan mahallelerde şöyle;
Seyhan ilçesindeki mahalle isimleri: Günyurdu, Büyükdikili, Küçükdikili, Zeytinli, Zincirlibağlar, Arslandamı, Şakirpaşa, Döşeme, İstiklal, Sarıhamzalı, Kurtuluş,Arsalandamı ve Cemalpaşa...
Yüreğir ilçesindeki mahalle isimleri: Köprülü,Şehit Erkut Akbay,Karşıyaka ve Çamlıbel.
Sarıçam ilçesindeki mahalle isimleri: Karşıyaka,İncirlik, Yürekli,Dağcı,Suluca,Misis...
Ceyhan ilçesindeki mahalle isimleri: Çakaldere, Türlübaş,Ağaçpınar,Altıkara,Çokçapınar,Sirkeli, Toktamış, Gazi Osman Paşa, Muradiye,Burhaniye, Mithat Paşa, mahallelerinde ada ve parsel bazında etkili olacak.
Adana otogarının bulunduğu arazi en büyük etkiyi hissederken, bu kamulaştırma kararı, ticaret, sanayi ve ulaşım sektörlerinde adeta bir deprem etkisi yarattı. Hem özel hem de kamu kuruluşlarını ilgilendiren bu kararın, çok sayıda firmanın faaliyetlerini etkileyeceği öğrenildi.
Sizlere daha iyi hizmet sunabilmek adına sitemizde çerez konumlandırmaktayız. Kişisel verileriniz, KVKK ve GDPR
kapsamında toplanıp işlenir. Sitemizi kullanarak, çerezleri kullanmamızı kabul etmiş olacaksınız.
En son gelişmelerden anında haberdar olmak için 'İZİN VER' butonuna tıklayınız.
Acele kamulaştırma kararı Adana Otogarını vurdu
Resmi Gazete'de bugün yayınlanan acele kamulaştırma kararı, Seyhan'da çok sayıda mahalleyi etkilerken en büyük etkiyi Adana otogarı arazisinde gösterdi.
Resmi Gazete'de bugün yayınlanan acele kamulaştırma kararı, Seyhan'da çok sayıda mahalleyi etkilerken en büyük etkiyi Adana otogarı arazisinde gösterdi.
Mersin-Adana-Osmaniye-Gaziantep Yüksek Standartlı Demiryolu Hattı İnşaatı kapsamında, Adana'da çok sayıda yere acele kamulaştırma kararı alındı ve bu karar Resmi Gazete'de yayımlandı. Bu karar,Yüreğir, Sarıçam,Seyhan ve Ceyhan'da acele kamulaştırma kararı alındı.
Adana'nın ilçelerinde kamulaştırma kararı alınan mahallelerde şöyle;
Seyhan ilçesindeki mahalle isimleri: Günyurdu, Büyükdikili, Küçükdikili, Zeytinli, Zincirlibağlar, Arslandamı, Şakirpaşa, Döşeme, İstiklal, Sarıhamzalı, Kurtuluş,Arsalandamı ve Cemalpaşa...
Yüreğir ilçesindeki mahalle isimleri: Köprülü,Şehit Erkut Akbay,Karşıyaka ve Çamlıbel.
Sarıçam ilçesindeki mahalle isimleri: Karşıyaka,İncirlik, Yürekli,Dağcı,Suluca,Misis...
Ceyhan ilçesindeki mahalle isimleri: Çakaldere, Türlübaş,Ağaçpınar,Altıkara,Çokçapınar,Sirkeli, Toktamış, Gazi Osman Paşa, Muradiye,Burhaniye, Mithat Paşa, mahallelerinde ada ve parsel bazında etkili olacak.
Adana otogarının bulunduğu arazi en büyük etkiyi hissederken, bu kamulaştırma kararı, ticaret, sanayi ve ulaşım sektörlerinde adeta bir deprem etkisi yarattı. Hem özel hem de kamu kuruluşlarını ilgilendiren bu kararın, çok sayıda firmanın faaliyetlerini etkileyeceği öğrenildi.
Kaynak: Haber Merkezi